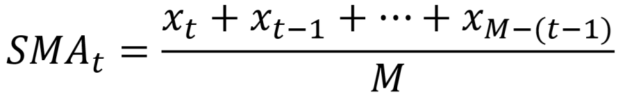
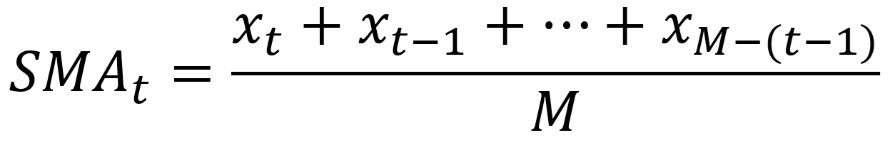
en:iot-reloaded:equationtwo.png

equationtwo.png

equationtwo.png

← Back to Data Preparation for Data Analysis

Date::
2024/07/25 15:50
Filename::
equationtwo.png
Format::
PNG
Size::
17KB
Width::
1254
Height::
204